Notice
Recent Posts
Recent Comments
Link
| 일 | 월 | 화 | 수 | 목 | 금 | 토 |
|---|---|---|---|---|---|---|
| 1 | ||||||
| 2 | 3 | 4 | 5 | 6 | 7 | 8 |
| 9 | 10 | 11 | 12 | 13 | 14 | 15 |
| 16 | 17 | 18 | 19 | 20 | 21 | 22 |
| 23 | 24 | 25 | 26 | 27 | 28 | 29 |
| 30 |
Tags
- 격자판
- ArrayList
- 두 배열 합치기
- 등수구하기
- 보이는 학생
- 자바
- 연속부분수열
- 가장 짧은 문자거리
- 백준
- 아스키코드
- 투 포인터
- GitHub #Commit #BaekJoon
- 공통원소 구하기
- 10992
- 10991
- 누적 계산
- 점수계산
- 모든행과열대각선의합
- array
- 큰 수 출력하기
- 임시반장 정하기
- 코테준비
- 배열
- 뒤집은 소수
- Two Pointer
- Pointer
- java
- 알고리즘
- 최대 길이
- 인프런
Archives
- Today
- Total
ezhoon
[인프런] 07_12 경로 탐색(인접행렬) 07_13 경로탐색(인접리스트) 본문
[Java] 인프런 문제풀이/Recursive, Tree, Graph(DFS, BFS 기초)
[인프런] 07_12 경로 탐색(인접행렬) 07_13 경로탐색(인접리스트)
ezhoon 2022. 2. 17. 17:03📖 문제
- 첫째 줄에는 정점의 수 N(1<=N<=20)와 간선의 수 M가 주어진다. 그 다음부터 M줄에 걸쳐 연결정보가 주어진다
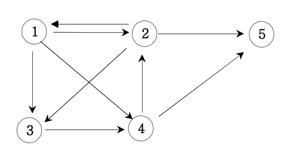
- 방향그래프가 주어지면 1번 정점에서 N번 정점으로 가는 모든 경로의 가지 수를 출력하는 프 로그램을 작성하세요.
- 아래 그래프에서 1번 정점에서 5번 정점으로 가는 가지 수는 총 6 가지입니다.


⚠️ 주의사항
- 한 번 갔던 곳을 되돌아오지 않게끔 주의해야 합니다.
- 만약 정점까지 도착했다면 지금까지 도착했던 곳의 체크를 해제해야 합니다.
- 행렬 / 리트스 두 가지의 방법으로 풀기
✍️ 이해
- 행렬
/**
* 1. N과 M, M개 만큼의 연결 정보 입력
* 1-1. 체킁요 배열 ch, 탐색용 graph 생성
* 2. DFS(1) 호출
* 3. v == N -> answer 증가
* 4. else
* 4-1. for(i = 1 ~ N)
* 4-1-1. graph[v][i] == 1 && ch[i] == 0
* 4-1-2. 현재 체크 배열 1 입력
* 4-1-3. DFS(i) 호출
* 4-1-4. 현재 체크 배열 0 초기화
*/
- 리스트
/**
* 1. Java07_12과 기본적인 개념은 똑같지만 N이 20이 아닌 10,000개 100,000개 등 늘어나게 될 경우 인접리스트 방식이 더 효율적임
* 2. 5개라고 쳤을 때 1,2,3,4,5라는 리스트가 먼저 생성 돼야함
* 3. 위의 리스트에 추가로 값이 들어가는것이므로 graph.get(앞 입력 값).add(뒤 입력 값
* 4. for문이 아닌 for each 사용
*/
✏️ 풀이
- 행렬
import java.util.Scanner;
public class Main {
static int N, M, answer =0;
static int[][] graph;
static int[] ch;
public void DFS(int v) {
if(v == N) answer++;
else{
for (int i = 1; i <= N; i++) {
if (graph[v][i] == 1 && ch[i] == 0) { // 방문 한 지점까지 확인
ch[i] = 1;
DFS(i);
ch[i] = 0;
}
}
}
}
public static void main(String[] args) {
Main T = new Main();
Scanner sc = new Scanner(System.in);
N = sc.nextInt();
M = sc.nextInt();
graph = new int[N + 1][N + 1];
ch = new int[N + 1];
for (int i = 0; i < M; i++) {
int a = sc.nextInt();
int b = sc.nextInt();
graph[a][b] = 1;
}
ch[1] = 1;
T.DFS(1);
System.out.println(answer);
}
}
- 리스트
import java.util.ArrayList;
import java.util.Scanner;
public class Main {
static int N, M, answer = 0;
static int[] ch;
static ArrayList<ArrayList<Integer>> graph;
public void DFS(int V) {
if (V == N) answer++;
else {
for (int i : graph.get(V)) { // ArrayList에는 for-each가 제일 나음
if (ch[i] == 0) {
ch[i] = 1;
DFS(i);
ch[i] = 0;
}
}
}
}
public static void main(String[] args) {
Main T = new Main();
Scanner sc = new Scanner(System.in);
N = sc.nextInt();
M = sc.nextInt();
ch = new int[N + 1];
graph = new ArrayList<ArrayList<Integer>>();
for (int i = 0; i <= N; i++) { // 객체 생성
graph.add(new ArrayList<Integer>());
}
for (int i = 0; i < M; i++) {
int A = sc.nextInt();
int B = sc.nextInt();
graph.get(A).add(B); // A번 리스트에 접근 후 A리스트에 B값 추가
}
ch[1] = 1;
T.DFS(1);
System.out.println(answer);
}
}
'[Java] 인프런 문제풀이 > Recursive, Tree, Graph(DFS, BFS 기초)' 카테고리의 다른 글
| [인프런] 07_14 그래프 최단거리(BFS) (0) | 2022.02.17 |
|---|---|
| [인프런] 07_11 그래프와 인접행렬 (0) | 2022.02.17 |
| [인프런] 07_09 ~ 10 Tree 말단노드까지의 가장 짧은 경로 (DFS, BFS) (0) | 2022.02.16 |
| [인프런] 07_08 송아지 찾기 (BFS : 상대트리탐색) (0) | 2022.02.15 |
| [인프런] 07_07 이진트리 레벨탐색 (0) | 2022.02.14 |
Comments