Notice
Recent Posts
Recent Comments
Link
| 일 | 월 | 화 | 수 | 목 | 금 | 토 |
|---|---|---|---|---|---|---|
| 1 | ||||||
| 2 | 3 | 4 | 5 | 6 | 7 | 8 |
| 9 | 10 | 11 | 12 | 13 | 14 | 15 |
| 16 | 17 | 18 | 19 | 20 | 21 | 22 |
| 23 | 24 | 25 | 26 | 27 | 28 | 29 |
| 30 |
Tags
- GitHub #Commit #BaekJoon
- 10992
- 자바
- 백준
- 뒤집은 소수
- 큰 수 출력하기
- 임시반장 정하기
- ArrayList
- 가장 짧은 문자거리
- 인프런
- array
- 보이는 학생
- 배열
- Two Pointer
- 모든행과열대각선의합
- 누적 계산
- 공통원소 구하기
- 10991
- 최대 길이
- 연속부분수열
- 투 포인터
- Pointer
- 코테준비
- 등수구하기
- 격자판
- 두 배열 합치기
- 알고리즘
- java
- 점수계산
- 아스키코드
Archives
- Today
- Total
ezhoon
[인프런] 07_09 ~ 10 Tree 말단노드까지의 가장 짧은 경로 (DFS, BFS) 본문
[Java] 인프런 문제풀이/Recursive, Tree, Graph(DFS, BFS 기초)
[인프런] 07_09 ~ 10 Tree 말단노드까지의 가장 짧은 경로 (DFS, BFS)
ezhoon 2022. 2. 16. 20:33📖 문제
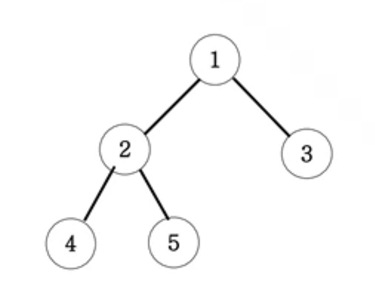
- 이진트리에서 루트 노드 1에서 말단 노드까지의 길이 중 가장 짧은 길이를 구하는 프로그램을 작성하시오.


⚠️ 주의사항
- DFS, BFS 두 방법으로 다 풀어보고 어느 방법이 더 좋은지 생각해보기
✍️ 이해
- DFS
/**
* 1. tree 동일하게 그려주기
* 2. 최소거리 이므로 root의 lt,rt = null 일 때 return L
* 3. 그 외의 경우는 Main.min 사용해서 DFS((L+1), root.lt), DFS((L+1), root.rt) 비교 후 값 return
*/
- BFS
/**
* 1. tree 그려주기
* 2. Queue 생성 <BFS>
* 3. root 값 queue 저장
* 4. queue 값이 빌때까지 반복
* 4-1. queue.size 만큼 반복
* 4-1-1. lt,rt == null return line;
* 4-1-2. lt != null queue.offer(lt)
* 4-1-3. rt != null queue.offer(rt)
* 5. return 0 -> 여기까지 올 일 절대로 없음
*/
✏️ 풀이
- DFS
class DFS_shortest {
int data;
DFS_shortest lt, rt;
public DFS_shortest(int val) {
data = val;
lt = rt = null;
}
}
public class Java07_09 {
DFS_shortest root;
public int DFS(int L, DFS_shortest root) {
if (root.lt == null && root.rt == null) return L;
else return Math.min(DFS(L + 1, root.lt), DFS(L + 1, root.rt));
}
public static void main(String[] args) {
Java07_09 tree = new Java07_09();
tree.root = new DFS_shortest(1);
tree.root.lt = new DFS_shortest(2);
tree.root.rt = new DFS_shortest(3);
tree.root.lt.lt = new DFS_shortest(4);
tree.root.lt.rt= new DFS_shortest(5);
System.out.println(tree.DFS(0 , tree.root));
}
}
- BFS
import java.util.LinkedList;
import java.util.Queue;
class BFS_shortest {
int data;
BFS_shortest lt, rt;
public BFS_shortest(int val) {
data = val;
lt = rt = null;
}
}
public class Java07_10 {
BFS_shortest root;
public int BFS(BFS_shortest root) {
Queue<BFS_shortest> queue = new LinkedList<>();
queue.offer(root);
int line = 0;
while (!queue.isEmpty()) {
int len = queue.size();
for (int i = 0; i < len; i++) {
BFS_shortest cur = queue.poll();
if (cur.lt == null && cur.rt == null) return line;
if (cur.lt !=null) queue.offer(cur.lt);
if (cur.rt !=null) queue.offer(cur.rt);
}
line ++;
}
return 0;
}
public static void main(String[] args) {
Java07_10 tree = new Java07_10();
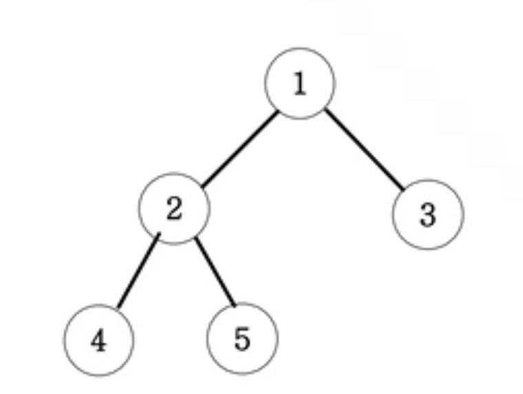
tree.root = new BFS_shortest(1);
tree.root.lt = new BFS_shortest(2);
tree.root.rt = new BFS_shortest(3);
tree.root.lt.lt = new BFS_shortest(4);
tree.root.lt.rt = new BFS_shortest(5);
System.out.println(tree.BFS(tree.root));
}
}
📋 정리
코드 길이 및 가독성을 봤을 때 DFS가 더 좋아 보이지만 실제로 Stack/Queue/Tree 직접 그려보면서 해봤을 때
BFS가 더 합리적이었습니다.
'[Java] 인프런 문제풀이 > Recursive, Tree, Graph(DFS, BFS 기초)' 카테고리의 다른 글
| [인프런] 07_12 경로 탐색(인접행렬) 07_13 경로탐색(인접리스트) (0) | 2022.02.17 |
|---|---|
| [인프런] 07_11 그래프와 인접행렬 (0) | 2022.02.17 |
| [인프런] 07_08 송아지 찾기 (BFS : 상대트리탐색) (0) | 2022.02.15 |
| [인프런] 07_07 이진트리 레벨탐색 (0) | 2022.02.14 |
| [인프런] 07_06 부분집합 구하기(DFS) (0) | 2022.02.13 |
Comments